固液两相红外光谱仪是一款高性能傅立叶变换红外光谱仪,主要用于测试物质的化学结构,具有步进扫描、快速扫描或布鲁克专有的交叉扫描等时间分辨技术,其应用范围广泛,无论样本是固态还是液态均能快速且精确的测试其分子结构和化学组成、化学键及官能团。采集到的红外谱图数据,用户可以使用仪器自配的OPUS软件进行基础的处理,以数据点表格式导出,以便使用Origin等工具进行分峰拟合等数据后处理分析。
仪器名称 |
固液两相红外光谱仪 |
仪器属性 |
测试类仪器 本仪器为固定仪器,不接受外借(数据必须及时拷贝,本机不留存) |
生产厂商 |
德国布鲁克公司 |
预约方式 |
郑苑楠 |
电话 |
13641531012 |
邮件 |
yuannanzheng@163.com |
 图1 Invenio型固液两相红外光谱仪实物图 (国家重点实验室A211房间) |
仪器主要性能指标
1. 光谱分辨率:优于0.16 cm-1,可满足几乎一切固态粉末或液态样品的测量要求;
2. 光谱范围:覆盖从 400cm-1到4000cm-1波数的谱图范围;
3. OPUS-TOUCH R&D 分析软件简化了工作流程、实现直观的操作。。
仪器的主要功能
1. 可应用于煤体、岩石、抑尘剂等粉体及液体材料的化学结构进行测试分析。
仪器测试的典型图像

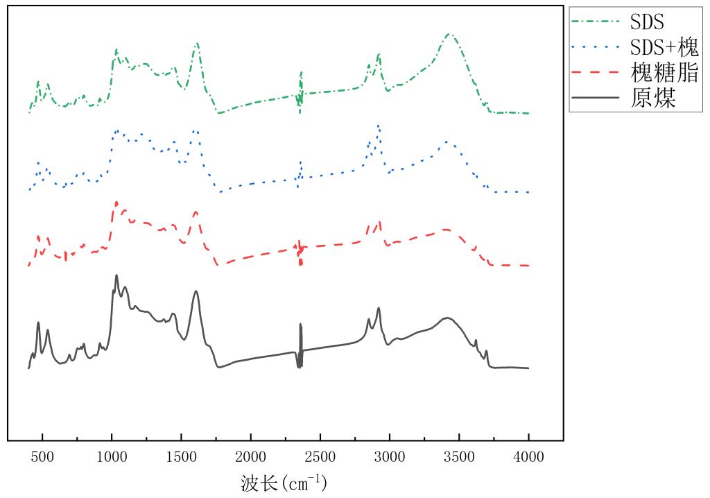
图1 不同处理后煤的官能团变化